Im Rahmen des Projekts „Schüler helfen Schülern“ werden Schüler, die Bedarf an Nachhilfe haben, an passende Mentoren, die ihre Ausbildung bei der aim abgeschlossen haben, vermittelt. Zu den langfristigen Zielen gehört es, möglichst vielen Schülerinnen und Schülern zu helfen und die Gemeinschaft an unserer Schule zu stärken.
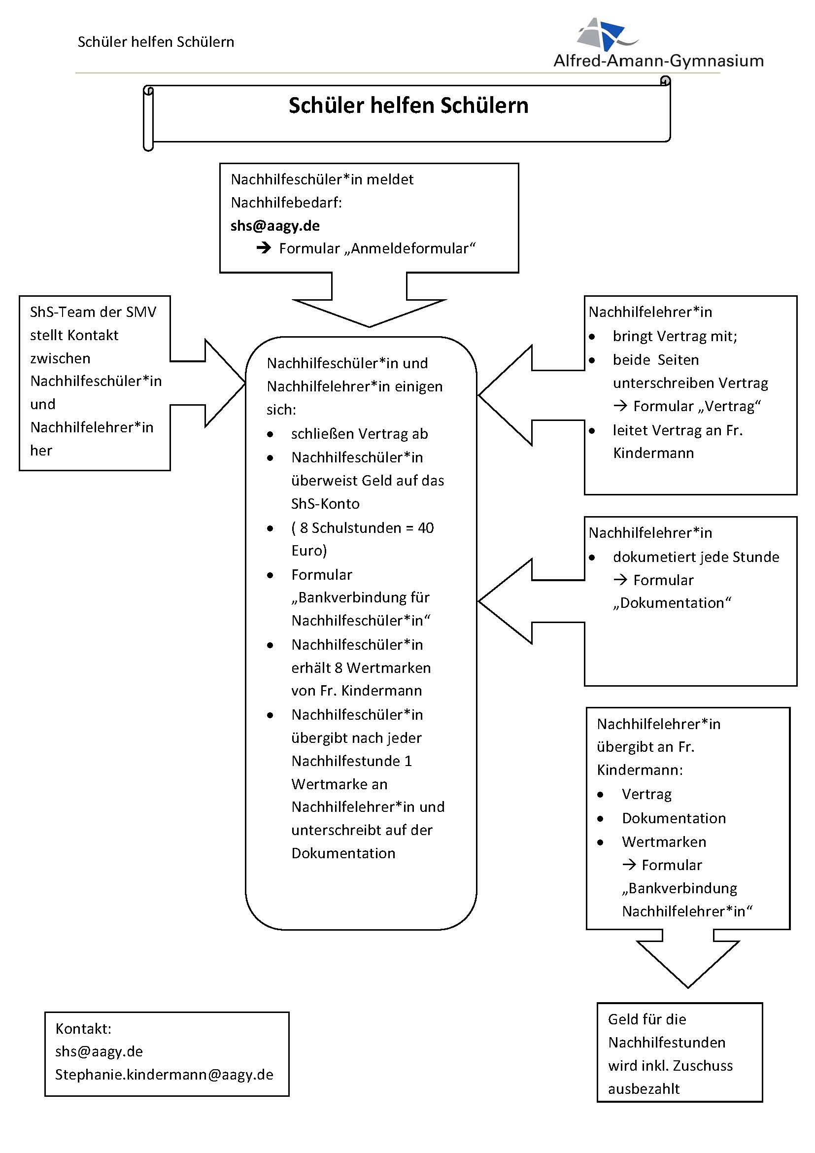
Der im Diagramm unten vorgestellte Ablauf soll euch zur Orientierung dienen, die erwähnten Formulare sind unten verlinkt.
Flussdiagramm:

Anmeldeformular
Vertrag
Bankverbindung für Nachhilfeschüler
Formulare für Mentoren:
Dokumentation
Angaben Nachhilfelehrer
Nachfolgend geben Sie noch einmal Antworten auf die wichtigsten Fragen:
Was ist „Schüler helfen Schülern“?
SHS ist ein langfristiges Projekt, wobei besonders jüngeren Schülern und Schülerinnen geholfen wird. Sie bekommen einen Schülermentor bzw. eine Schülermentorin zugeteilt, der/die ihnen mit Rat und Tat in Sachen Schule zur Seite steht – ob Haupt- oder Nebenfach, wir können den richtigen Mentor bzw. die richtige Mentorin stellen.
Wer sind die Schülermentor*innen?
Das sind Schülerinnen und Schüler des AAGs, die in einer zweitägigen Ausbildung die Qualifikation zum Schülermentor erworben haben und sich freuen, jüngeren Schülern und jüngeren Schülerinnen zu helfen.
Wie viel kostet das und wie wird bezahlt?
Eine Nachhilfestunde (45 Minuten) kostet 5€. Zwischen Schüler*in und Mentor*in läuft alles bargeldlos. Nach Einzahlung von 40 € bekommt der Schüler bzw. die Schülerin 8 Chips, die sie oder er an den Mentor bzw. an die Mentorin nach jeder abgehaltenen Stunde gibt.
Solltet auch ihr Nachhilfebedarf haben, scheut euch nicht, Kontakt aufzunehmen: Bei offenen Fragen wendet euch gerne an das Organisationsteam (shs@aagy.de) oder an Frau Kindermann (Stephanie.Kindermann@aagy.de).
